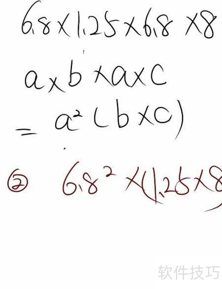
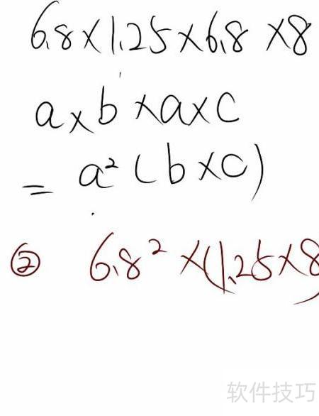
6.8×1.25×6.8×8巧算
更新时间:2026-04-12 10:01:23
-
-
龙符天祭官方手游最新版
- 类型:休闲益智
- 大小:756.0m
- 语言:简体中文
- 评分:
- 查看详情
6.8×1.25×6.8×8巧算
在小学数学中,熟练掌握小数相乘的简便方法不仅能让你的计算更加简单快捷,还能显著提高你的解题速度和准确率。快来一起学习这个技巧吧!
将题目中小数乘法算式置于验算纸上,通过分析各数间的关系进行预处理,为后续计算打下基础。
- 依据小数乘法运算法则,将数值代入原式,可推导出新的等式。

- 将1.25与8先进行计算,因其相乘较为简便,可优先处理,结果为10。

4、 第四步需特别注意,6.8的平方不能拆开计算,必须将小数整体处理,即直接计算6.8乘以6.8的结果。

5、 通过将新得到的小数乘以10,运算变得十分简便,只需将小数点向右移动一位,即可快速得出最终结果。
